The Principle of Distracted Procrastination
07 Aug 2010"The number of desirable activities at any given time is directly proportional to the importance and urgency of the task you should be doing at that time."That is, if there's something you really should be doing, there are a million other things you would rather do.
This can be explained as - as the importance of a required task increases, it's desirability decreases, so that there are more activities that are more desirable than the required task. Still with me?
That's kind of obvious, though. But it leads to the perhaps less obvious,
Corollary: "When there's nothing you should be doing, you can't think of anything to do"Which is as simple as saying, if there's nothing undesirable to do, then everything is more desirable and you're left with loads and loads of things you might want to do and the potential inability to decide on just one.
This can all be put mathematically - something like this:
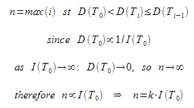
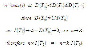
where D(T) is desirability of task T, I(T) is importance of the task, T_0 is the required task and k is the procrastination coefficient - k being dependent on a number of factors.
[No, I'm not entirely sure I follow it either.]
Of course, another thing to consider is that important tasks usually have deadlines, so I(T) must also be time-dependent. So something like,
where t is time from when the task was set, and t_0 is the deadline (the amount of time allocated for the task). But note, not necessarily that equation exactly. That's just one example of an equation that tends to infinity as t approaches t_0.
Similarly, the desirability of a given task would be inversely proportional to how time consuming it is. And, in fact, if we take the duration of the task, t_d - how much time the task would take to complete - into consideration as well, an alternative might be,
which has the same general shape as the previous one, but behaves differently at key points. It's still not perfect. But specifically, what it means is, when (t_0 - t) < t_d - i.e. when you don't have enough time to finish the task - it's pretty much game-over.
Now, the 'threshold of distraction', i.e. the point at which you'll start to procrastinate is then given by
where x relates to a person's will-power and, to an extent I(T_0), amongst other things - it usually works out around 5 minutes, and in practice T_n will usually be something like checking email/Facebook/Twitter, and the likes.
And, as you probably know from experience, once you cross that threshold, you're pretty much screwed in terms of getting anything done.
So what does all this tell us? That I'm procrastinating! Yep, complete and utter waste of time.
And the moral of the story is - don't let a mathematician over-think anything. Ever. I hope you're all well and truly confused :]
Oatzy.



